想象一下你正在训练一个 AI 去识别动物。你从猫和狗开始,模型表现很好。然后你加入了鸟和鱼——但当你再次测试它时,奇怪的事情发生了: 它现在能出色地识别鸟和鱼,却完全忘记了猫长什么样。
这个令人沮丧的现象被称为 灾难性遗忘 , 它是开发自适应、终身学习型 AI 系统的最大障碍之一。不同于人类在学习新技能时不会丢弃旧技能,神经网络在用新数据训练时常常会覆盖之前的知识。这对那些必须在不断变化的环境中持续学习的应用来说,是一个重大限制。
减轻遗忘最有效的策略之一是 回放 : 模型在训练期间通过重新访问已存储的样本来“排练”旧任务。但当内存稀缺时会发生什么?在只有少量过往样本的情况下,模型容易过拟合——记住具体样本而非总结普遍规律。
最近的一篇研究论文《学习如何从少量嘈杂数据中快速持续学习》提出了一个优雅的解决方案: 与其仅仅回放过去的数据,不如教模型 学习如何从中学习。通过将回放与一种称为 MetaSGD 的元学习技术相结合,作者创建了一个框架,它能学习得更快、遗忘得更少,并且在嘈杂环境下依旧保持稳健。
让我们来看看他们是如何做到的——以及为什么它能奏效。
问题所在: 遗忘容易,记忆难
在常规的机器学习中,我们假设数据样本是 独立同分布 (i.i.d.) 的。但真实世界的数据往往是按时间顺序到达的——一个任务或经验的 连续体。例如,一辆自动驾驶汽车必须持续学习识别新的路标;一个推荐系统则要不断适应用户变化的偏好。
这就是 持续学习 的范畴: 模型一个接一个地学习任务,同时保留早期任务的知识。

核心挑战是灾难性遗忘。可以把模型的参数想象成“损失景观”(loss landscape)上的一个点——损失越低的谷底代表越好的性能。当我们在任务 U 上训练时,参数会稳定在对应的谷底。但当新的任务 V 到来时,梯度下降的训练会将参数拉向任务 V 的谷底,从而使它们远离任务 U 的最优区域。

图 1: 在新任务上训练会使参数偏离先前任务的低损失区域,从而导致遗忘。
使用情景记忆进行回放
对抗遗忘的一个直接方法是 回放 : 在训练时,通过展示存储在 情景记忆 中的样本来提醒模型之前的任务。
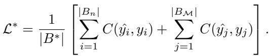
经验回放 (ER) 框架高效地实现了这一点。与其使用全部存储数据 (那会非常耗费计算资源) ,ER 会从记忆中随机采样一个小批量 \(B_M\),并与当前数据批次混合进行训练。

算法 1: 经验回放。从记忆中采样的样本与当前任务数据共同训练。
即使每次仅回放一个过去样本,ER 的效果也相当不错。但当内存极其有限时,这些少量样本会被高频重复使用,模型最终对这些实例发生过拟合,无法泛化到旧任务的整体分布。
那么,当内存极小时,我们该如何让持续学习依然稳健呢?
MetaSGD-CL: 学习如何学习
作者将这一挑战重新定义为 低资源学习 问题。虽然新任务的数据充足,但模型必须能从极少数旧样本中学习得当。此时, 元学习 (即 学习如何学习) 派上用场。
从 SGD 到 MetaSGD
标准的神经网络优化使用 随机梯度下降 (SGD) , 按如下方式更新参数 \( \theta \):

这里,\( \alpha \) 是全局学习率,控制所有参数的更新步幅。但为所有参数使用同一个学习率可能效率不高——有些参数应当迅速调整,而另一些则应保持稳定。
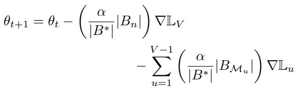
MetaSGD 用一个逐参数学习率向量 \( \beta \) 替代了 \( \alpha \):

现在每个参数都拥有自己的学习率,这些学习率由元优化过程自动学习。重要的参数可以快速更新,而其他参数可以被保护。这种适应性对于持续学习尤为关键,因为不同任务会对参数产生相互冲突的拉力。
将 MetaSGD 扩展到经验回放
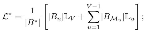
经验回放的总损失由当前批次 \(B_n\) 与回放的记忆批次 \(B_M\) 共同贡献:

在多任务场景中,损失可表示为所有已学习任务的加权平均:

梯度更新则将这些损失汇聚成一个共享方向:

然而,不同任务的梯度往往指向冲突方向,产生任务间的 干扰 (interference) 。

图 2: 冲突的梯度方向导致任务间的干扰。
为此,作者提出了 用于持续学习的 MetaSGD (MetaSGD‑CL) 。 每个任务 \(u\) 拥有独立学习到的学习率向量 \( \beta_u \),使优化器能够区别对待各任务的梯度更新:

这种设计赋予模型极高的灵活性。它可在高效学习新任务的同时保持旧知识,灵活而非统一地调整学习动态。
为了防止任务数量增多引发过度参数化,作者引入了归一化因子:

实验: 它真的有效吗?
研究团队在两个持续学习基准数据集上测试了 MetaSGD‑CL:
- 置换 MNIST — 每个任务通过置换图像像素顺序生成新的 MNIST 数字分类任务。
- 增量 CIFAR100 — 模型逐步学习新的图像类别。
他们将其与以下六种基线方法进行比较:
- Singular — 朴素的序列训练;
- ER — 标准经验回放;
- GEM — 梯度情景记忆;
- EWC — 弹性权重巩固;
- HAT — 任务硬注意力。
性能衡量指标包括:
- 任务 1 的最终准确率 (FA1): 表示模型记住第一个任务的程度;
- 平均准确率 (ACC): 表示所有任务在训练结束后的平均表现。
抵抗遗忘与过拟合
基于记忆的算法 (MetaSGD‑CL、ER、GEM) 在避免遗忘上表现优异,但差异体现在泛化稳定性上。

图 3: 在 10 个任务的置换 MNIST 上的性能表现。

表 1: 置换 MNIST 的最终指标。
ER 和 MetaSGD‑CL 都能很好地记住任务 1 (高 FA1) ,但 ER 的平均准确率由于对回放数据过拟合而大幅下降。相比之下,MetaSGD‑CL 能在所有任务上保持较高性能。
类似趋势也出现在增量 CIFAR100 的实验中。

图 4: 增量 CIFAR100 实验结果。

表 2: 增量 CIFAR100 的最终指标。
MetaSGD‑CL 的三大优势
1. 微小内存仍具卓越表现
研究人员测试了不同大小的 环形缓冲区 (1000、250、100 个样本共享于所有任务) 。

图 5: 在微小内存下的性能表现。
当内存缩减至仅 100 样本时,ER 的准确率急剧下降,而 MetaSGD‑CL 依然稳健。元学习使模型能从极少的样本中提取可泛化的规律。
2. 快速获取知识
元学习天生适合快速适应。作者将每个任务的训练限制为仅 25 次迭代——约为常规迭代次数的四分之一。

图 6: 更少的迭代次数。MetaSGD‑CL 学习速度明显更快。
即使数据稀疏,MetaSGD‑CL 仍保持良好性能。它能在更少的更新中达到高准确率——非常适合低数据、时间紧张的任务场景。
3. 对噪声的鲁棒性
为了模拟真实世界环境,团队在 MNIST 图像中加入随机像素噪声,使数据和记忆样本出现 10%–50% 的损坏。

图 7: 在噪声注入下的鲁棒性表现。
MetaSGD‑CL 学到的学习率会为受噪声影响的特征分配更小的更新幅度,帮助模型忽略损坏输入并维持稳定。
学到的学习率揭示了什么?
消融实验进一步说明了学习率的重要性。当研究者将旧任务的学习到的 \( \beta \) 向量置为零时,灾难性遗忘重新出现;将它们替换为固定常数 (0.01 或 0.1) 虽略有改善,但仍远逊于完整的 MetaSGD‑CL——这表明动态学习到的 \( \beta \) 值至关重要。

表 4: 置换 MNIST 上的消融实验结果。
结论
MetaSGD‑CL 的研究工作重新定义了持续学习。通过结合回放的内存效率与元学习的适应性,它构建出一个能在极端约束 (微内存、有限数据、噪声环境) 下依然高效的学习框架。
MetaSGD‑CL 不只是提醒模型过去的任务,而是教它 如何更有效地利用这些提醒。借助逐参数、逐任务的学习率,它智能地平衡更新,在获取新知识的同时保护旧知识。
这种混合策略为真正的终身学习系统迈出了坚实一步——让 AI 像人类智能一样,能够持续学习、不断进化与自我适应。
](https://deep-paper.org/en/paper/2103.04066/images/cover.png)