如果你玩过 Word2Vec 或早期的语言模型,你可能对 NLP 中那个著名的代数奇迹并不陌生: King - Man + Woman = Queen。这种向量运算表明,语言模型 (LM) 不仅仅是在死记硬背文本;它们隐式地学习了语义和句法结构。
然而,要显式地提取这种结构——即绘制出句子的实际语法树——通常需要在昂贵的手工标注数据集 (如 Penn Treebank) 上进行监督训练。但是,如果我们能让预训练的大型语言模型 (LLM) 在没见过任何标注解析树的情况下,吐露其语法知识呢?
在论文 “On Eliciting Syntax from Language Models via Hashing” 中,来自日本国家信息通信研究机构 (NICT) 的研究人员提出了一种名为 Parserker2 的迷人方法。通过结合经典的动态规划算法 (CKY) 与现代对比学习和二进制哈希技术,他们成功地从原始文本中诱导出了高质量的句法树。
这篇文章将带你了解他们如何将解析机制从“零阶”升级为“一阶”,如何将解析转化为哈希问题,以及使无监督学习变得稳定所需的巧妙损失函数。
核心问题: 语法在哪里?
语法是语言的隐形骨架。在像 “The quick brown fox jumps” 这样的句子中,我们要知道 “The quick brown fox” 构成了一个名词短语 (NP) ,而 “jumps” 充当动词 (V) 。 成分句法分析器 (Constituency Parser) 的目标就是恢复这种层次化的树状结构。
标准方法通常遵循这样的流程:
- 获取一个句子。
- 用模型 (如 BERT) 对其进行编码。
- 在数千个标记好的树上训练分类器,以预测哪些单词应该组合在一起。
研究人员提出了一个更难的问题: 我们能否仅利用原始文本和预训练模型的内部知识来诱导出这些树?
为此,他们依赖一种称为 二进制表示 (Binary Representation) 的技术。模型不再是从固定列表中预测“NP”或“VP”这样的标签,而是为每个文本跨度 (span) 预测一个二进制代码 (例如 10110...) 。如果两个跨度在语法上相似,它们应该具有相似的二进制代码。
架构概览
在深入数学细节之前,让我们先看看高层架构。

该模型接收一个句子,并将其传递给预训练的 LM (如 BERT) 。然后,它使用一个 哈希层 (Hash Layer) 生成分数,这些分数被输入到 比特级 CKY (Bit-level CKY) 模块中。输出是一棵解析树,其中每个节点都标有十六进制哈希码,而不是语言学标签。
背景: 零阶解析的局限性
要理解这里的创新,我们需要重温 CKY (Cocke-Kasami-Younger) 算法。CKY 是一种自底向上的解析算法,用于查找句子最可能的树结构。它的工作原理是将较小的文本跨度组合成较大的跨度。
在之前的研究 (Parserker1) 中,作者使用了 零阶 CKY (Zero-order CKY) 。 在这种设置中,一个跨度 (例如短语 “the lazy dog”) 的分数仅取决于边界标记: 开头 (“the”) 和结尾 (“dog”) 。
\[ g(l,r,c) = \dots \text{function of } h_l \text{ and } h_r \]虽然计算效率高,但这在语言学上是薄弱的。一个短语的语法角色不仅仅由其边缘决定;它取决于其内部结构。因为零阶解析忽略了“分割点” (即短语分裂成子节点的位置) ,所以它很难在无监督设置下学习复杂的语法。
解决方案: 一阶比特级 CKY
作者引入了 一阶 CKY (First-order CKY) 。 在这个升级版本中,跨度的分数取决于 分裂位置 (\(m\)) 。
想象一下解析短语 “The quick brown fox”。
- 零阶 会问: “The” 和 “fox” 看起来像是一个有效短语的边缘吗?
- 一阶 会问: 如果我们在这里把 “brown” 分开 (The quick brown | fox) ,左子节点 (“The quick brown”) 和右子节点 (“fox”) 的组合说得通吗?
通过结合分割点 \(m\),模型将词汇信息 (单词) 和句法信息 (它们如何组合) 统一到了一个单一的表示中。
可视化差异
这种差异在动态规划图表 (用于计算解析概率的网格) 中最容易看出:

在顶部的三角形 (零阶) 中,预测依赖于最顶端的单元格。在底部的三角形 (一阶) 中,预测是由交叉左子节点和右子节点的单元格平均后做出的联合决策。
“平均化”技巧
你可能会担心检查每个可能的分割点太慢了。如果我们必须为每个 \(m\) 计算复杂的神经网络操作,系统将变得不可用。
研究人员发现了一个巧妙的数学捷径。他们不再为每个分割计算新的向量,而是简单地 平均 组成部分的分数。
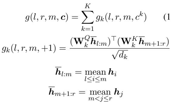
\[ \begin{array} { c } { \displaystyle { g ( l , r , m , c ) = \sum _ { k = 1 } ^ { K } g _ { k } ( l , r , m , c ^ { k } ) } } \\ { \displaystyle { g _ { k } ( l , r , m , + 1 ) = \frac { ( \mathbf { W } _ { k } ^ { Q } \overline { { h } } _ { l : m } ) ^ { \top } ( \mathbf { W } _ { k } ^ { K } \overline { { h } } _ { m + 1 : r } ) } { \sqrt { d _ { k } } } } } \\ { \displaystyle { \overline { { h } } _ { l : m } = \operatorname* { m e a n } _ { l \leq i \leq m } h _ { i } } } \\ { \displaystyle { \overline { { h } } _ { m + 1 : r } = \operatorname* { m e a n } _ { m < j \leq r } h _ { j } } } \end{array} \]
这个方程本质上是说: 要获得从 \(l\) 到 \(m\) 跨度的表示,只需取该范围内隐藏状态的平均值 (\(\overline{h}_{l:m}\)) 。这使得模型能够捕捉短语的“重心”,使解析对内部结构敏感,而不会导致计算成本激增。
对于特定比特 \(k\) 为 \(+1\) 的计算,可以完美简化为对子组件分数的平均:

通过对比哈希进行无监督训练
现在我们有了一个构建树的机制 (一阶 CKY) 。但我们如何在没有标签的情况下训练它呢?我们不知道一个跨度是 NP 还是 VP。
答案是 对比学习 (Contrastive Learning) 。
直觉很简单: 相同的短语应该具有相同的哈希码。
如果短语 “the lazy dog” 出现在句子 A 中,又出现在句子 B 中,模型应该给它们分配相同的二进制代码 (例如 1101) ,而不管上下文如何。相反,“the lazy dog” 的代码应该与 “jumps over” 不同。
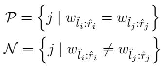
定义正样本和负样本
模型将解析任务视为一个自监督问题。
- 正样本集 (\(\mathcal{P}\)) : 具有完全相同文本内容的跨度 (\(w_{\hat{l}_i:\hat{r}_i} = w_{\hat{l}_j:\hat{r}_j}\)) 。
- 负样本集 (\(\mathcal{N}\)) : 具有不同文本内容的跨度。

模型不再为每个可能的短语维护一个巨大的嵌入表 (那将有数百万个条目) ,而是使用 对比哈希 。 它将正样本对的二进制代码拉近,将负样本对推远。这将“这是什么标签?”的问题转化为“这两个是一样的吗?”的问题,这在没有监督的情况下更容易学习。
生成二进制代码
跨度的二进制代码 \(\mathbf{c}\) 不是任意的。它是从 CKY 算法计算出的 边缘概率 派生出来的。如果比特 \(k\) 为 \(+1\) 的概率高于 \(-1\),则该代码位变为 \(+1\)。

损失函数之战
这篇论文最技术性的贡献——也是这种方法之所以有效而其他方法失败的原因——在于损失函数的设计。
在标准的对比学习 (如 SimCSE) 中,通常有一个正例和许多负例。但在解析中,像 “the” 这样的常见短语可能会在一个批次中出现几十次。你会有 多个正例 。
如果你只取到所有正例的平均距离,模型会感到困惑 (即“几何中心”问题) 。如果你只看最近的正例,对于像语言这样大的输出空间来说,信号又太弱了。
提议的解决方案: \(\ell_{\overline{\min}}\)
研究人员建议关注 最难 的情况。他们希望最小化到 最远 正例的距离 (使聚类紧凑) ,同时最大化到负例的距离。
然而,简单地使用 min/max 算子会使训练变得不稳定,因为梯度会被正项主导。为了解决这个问题,他们引入了一个 平衡损失函数 , 称为 \(\ell_{\overline{\min}}\)。

详细分解如下:
- \(\min_{\mathcal{P}}\) (拉力) : 这一项关注“最差”的正匹配 (距离最远的那个) 并试图将其拉近。这提供了强大的对齐信号。
- \(\overline{\min}_{\mathcal{P}}\) (平衡) : 这一项被添加到负样本侧。它是最小算子的“软”版本 (使用 LogSumExp) 。它确保来自正项的梯度不会压倒来自负项的梯度。
这种平衡防止了模型坍缩成平凡解 (如右分支树) ,并迫使它学习有意义的结构。
实验与结果
它真的有效吗?研究人员在 Penn Treebank (英语) 和 Chinese Treebank (中文) 上测试了 Parserker2。
英语结果 (PTB)
在 Penn Treebank 上,与其它无监督方法相比,该模型实现了具有竞争力的 F1 分数。

如表 1 所示,“Ours” (Parserker2) 始终优于隐式语法模型 (如 ON-LSTM 和 PRPN) 。它在使用 BERT-Base 和 24 位哈希时实现了 57.4 的 F1 分数,考虑到它没有使用任何标记数据,这是令人印象深刻的。
中文结果 (CTB)
在中文上的结果更加引人注目。对于无监督模型来说,中文句法通常也是出了名的难。

表 2 显示,Parserker2 显著优于几乎所有基线模型。有趣的是,与英语相比,该模型在中文上需要更多的位数 (36-44 位) 才能达到峰值性能,这表明捕捉中文句法需要更高维度的二进制空间。
深入矩阵: 树长什么样?
数字很好看,但可视化效果更好。由于模型输出带有十六进制标签的树,我们可以将它们与真实树进行比较。
以句子为例: “The quick brown fox jumps over the lazy dog.”

在上图中:
- 左侧: 带有 NP (名词短语) 和 VP (动词短语) 等标签的人工标注树。
- 右侧: 带有十六进制代码的模型输出。
请注意,结构是 相同 的。
- 模型正确地将 “The quick brown fox” 归为一个节点 (
7EBB) 。 - 它将 “the lazy dog” 归为另一个节点 (
EEBB) 。 - 关键是,相似概念的代码也是相似的。像 “quick” (
5A00) 和 “brown” (5E42) 这样的前终结符 (preterminal) 形容词共享部分比特位,表明模型已经学习到了词性。
处理复杂性
该模型可以很好地扩展到更长、更复杂的句子。下面是一个更深的树推导。请注意层次结构是如何从根节点一直保留到单个标记的。

结论
“Parserker2” 论文展示了无监督句法诱导方面的重大飞跃。通过从 零阶 升级到 一阶 CKY,研究人员使模型能够考虑跨度的内部结构,而不仅仅是边界。通过采用 对比哈希 和精心平衡的 损失函数 , 他们成功地仅利用原始文本训练出了这种复杂的结构。
这项工作意味着高质量的句法标注——通常是 NLP 中的瓶颈——现在可以以极低的成本获得。模型生成的二进制代码不仅仅是随机数字;它们是 LLM 一直向我们隐藏的“语法”的一种压缩、离散的表示。
对于学生和研究人员来说,这是一个强有力的提醒: 有时理解神经网络的最佳方法不是增加更多的层,而是施加正确的结构约束 (如 CKY) 并提出正确的问题 (如“这两个跨度是相同的吗?”) 。
](https://deep-paper.org/en/paper/2410.04074/images/cover.png)