人工智能已经取得了非凡的成就——有时在复杂推理、视觉和创造性任务上甚至超越了人类。然而,大多数人工智能系统都存在一个人类本能掌握的根本弱点: 在不遗忘的情况下持续学习 。
当神经网络学习一项新任务时,它容易出现灾难性遗忘: 为新任务更新权重时,会抹去过去任务的表征。想象一下,学会了游泳却突然忘了如何骑自行车——这就是灾难性遗忘的真实体现。对于希望随时间不断进化的人工智能而言,这是一个严重的局限。
这一挑战对于生成式模型——图像合成、文本生成和艺术创作背后的引擎——尤为严峻,因为这些模型必须在众多概念中保持创造性的多样性。为每个新领域从头重新训练它们既昂贵又缓慢。传统的“回放”方法,即在混合新旧合成数据上再训练,只是暂时推迟问题。随着时间推移,它们的准确性和保真度都会下降——就像复印件的复印件一样。
最近,Victor Enescu 和 Hichem Sahbi 的研究论文 《使用函数式 LoRA 的深度生成式持续学习 (FunLoRA)》 提出了一个简洁而出人意料的简单机制来正面解决这一问题。 FunLoRA 使 AI 模型能够顺序学习而不遗忘,同时仅需极少的额外参数。它重新审视了已知的微调策略 LoRA,并赋予其函数式的新变化——这一变化可能从根本上改变生成模型的长期学习方式。
背景: 为什么持续学习如此困难
持续学习 (Continual Learning,CL) 旨在使模型能够在一系列任务上训练,同时不丢失已学信息。对于判别式分类器而言,挑战在于保持过去的决策边界稳定;而对生成式模型来说,这更为艰难——它们必须可靠地复现所有过去数据的分布。
早期的解决方案如样本回放,会存储旧数据或合成样本,但该方法的内存和隐私开销巨大。更先进的解决方案依赖生成式回放——即模型在生成的数据上重新训练——但这会导致收敛缓慢和质量下降。
FunLoRA 通过重新思考模型如何获得新能力,从根本上规避了这些问题。
流匹配: 更简单、更快速的生成过程
多数现代生成式模型——如 Stable Diffusion——基于扩散过程: 该过程向数据添加噪声,并通过数百个去噪步骤学习逆向转换。虽然能产生极高质量的结果,但速度十分缓慢。
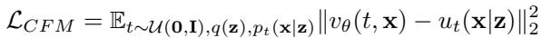
FunLoRA 构建在条件流匹配 (Conditional Flow Matching,CFM) 之上,这是一种更快、更直接的生成技术。它学习一个向量场 \(v_{\theta}(t, \mathbf{x})\),该向量场可以平滑地将噪声向量映射到真实图像,从而避免迭代去噪的繁琐过程。

模型学习将其预测的速度场 \(v_{\theta}\) 与已知的条件目标场 \(u_t(\mathbf{x}|\mathbf{z})\) 对齐。
噪声与数据之间的概率路径定义如下:
\[ \mathbf{x} = (1 - t)\mathbf{x}_0 + t\mathbf{z} \]
流匹配使用数据与噪声之间的直接线性插值,而非扩散模型的弯曲多步路径。
这种“直线路径”公式使采样过程快速且易处理,非常适合持续学习场景中高效生成大量图像的需求。
LoRA: 高效的模型微调方法
大型神经网络可能包含数十亿参数,使得完整微调既浪费又昂贵。 低秩适配 (Low-Rank Adaptation,LoRA) 通过冻结大部分权重,仅学习小规模的低秩扰动来解决这一问题。
LoRA 并非更新完整的权重矩阵 \(\mathbf{W}_0\),而是学习一个残差 \(\Delta \mathbf{W}\),该残差是两个窄矩阵 \(\mathbf{A}\) 与 \(\mathbf{B}\) 的乘积:

LoRA 将更新表示为 \(\Delta \mathbf{W} = \mathbf{A}\mathbf{B}\)。可学习参数数量显著减少。
在推理阶段,基础权重与其低秩修正项同时使用。这项技术极大改善了大型语言与视觉模型的高效适应方式——尤其适用于数据稀缺的设定。
FunLoRA: 函数式地扩展表达能力
传统 LoRA 虽强大,但存在一个限制: 表达能力取决于秩 (rank) 。 秩为 1 的矩阵 (最紧凑形式) 只能表达线性关系——节约但有限。FunLoRA 通过巧妙的数学变换函数式地提升秩,从而增强模型表达力。
1. 用于卷积层的 LoRA
标准 LoRA 多应用于 Transformer 的注意力层,而 U-Net——众多生成模型的核心结构——主要通过卷积处理类别与时间信息。因此,FunLoRA 将 LoRA 直接应用到卷积层。
对于每个类别标签 \(y\):
\[ \mathbf{F}_y = \mathbf{A}_y \mathbf{B}_y \]其中 \(\mathbf{A}_y\) 与 \(\mathbf{B}_y\) 为秩 1 矩阵,并重塑为卷积滤波器相应维度。

每个类别学习一对向量,其乘积形成 \(\mathbf{F}_y\),即对应卷积滤波器的调制矩阵。
FunLoRA 不再将更新项加到 \(\mathbf{W}_0\) 上,而是采用逐元素乘法:
\[ \mathbf{W}_y = \mathbf{W}_0 \odot \mathbf{F}_y \]
哈达玛 (逐元素) 积根据类别特定的函数矩阵重新缩放滤波器,同时保留原有骨干网络结构。
该方法为每个类别生成独立子网络,无需复制整个模型——实现任务间无干扰且无遗忘。
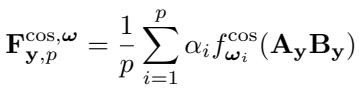
2. 函数式地提升秩
FunLoRA 的真正创新在于如何在不增加参数的情况下提升秩。它对 \(\mathbf{A}_y\) 与 \(\mathbf{B}_y\) 应用 \(p\) 个函数 \(f_i\),并对输出求平均:
\[ \mathbf{F}_y = \frac{1}{p}\sum_{i=1}^{p}\alpha_i f_i(\mathbf{A}_y,\mathbf{B}_y) \]
不同的非线性函数 \(f_i\) 丰富了 \(\mathbf{F}_y\) 的表达能力,却无需增加参数数量。
这些函数包括:
- 循环移位: 在乘法前重新排列向量元素。
- 逐元素幂: 应用如 \(x^1, x^2, \ldots, x^p\) 的幂操作。
- 三角函数: 使用不同频率的余弦波。
其中,三角函数效果最佳。余弦形式如下:
\[ f_i^{\cos}(x) = \cos(\omega_i x) \]它学习不同频率 \(\omega_i\) 及其可训练权重 \(\alpha_i\),实现具有周期性的调制,模拟更高秩的变换。

余弦函数通过引入基于频率的变化扩展并多样化有效秩。
该机制在整个 U-Net 中应用,为每个类别动态调节卷积层特性。

编码器与解码器路径中的卷积模块通过类别条件函数矩阵 \(\mathbf{F}_y^l\) 进行适配。
实验: FunLoRA 的表现
FunLoRA 在常用的持续学习基准上 (CIFAR10、CIFAR100、ImageNet100) 进行了测试,这些数据集被拆分为顺序任务,随着时间引入新类别。
识别关键层
并非所有层对适应性贡献相同。作者为每个卷积层计算了一个基于参数偏差的重要性得分。

中间层与解码器层具有最高的重要性值,因此是 LoRA 适配的关键候选层。
仅关注索引 40–54 的层即可将参数数减少三倍,而准确率仅下降约两个百分点。这揭示了中层解码器层在类别适配中至关重要。
消融研究: 余弦函数的力量
在系统的消融实验中,基于余弦的函数式扩展在所有指标上均表现最佳,超越了传统 LoRA 的加法与乘法基线,即使这些基线使用更多参数。
| 所用函数 | 层索引 | 每类参数 ↓ | 最终准确率 ↑ | 平均增量准确率 ↑ |
|---|---|---|---|---|
| 原始 (加法) | 0–64 | 35.59K | 59.23 | 67.17 |
| 原始 (乘法) | 0–64 | 35.59K | 60.84 | 68.82 |
| 余弦 (可学习) | 0–64 | 35.35K | 61.82 | 69.18 |
| 原始 (加法) | 40–54 | 11.26K | 59.29 | 67.65 |
| 余弦 (可学习) | 40–54 | 10.03K | 60.07 | 68.06 |
在所有数据集中,余弦变体取得了最佳性能,同时保持极高的内存效率。
从直觉上看,余弦的振荡特性赋予模型灵活、局部的表达能力。其有效秩常超出函数数量上限 (\(p = 10\)) ,超越了幂或移位函数的限制。

基于余弦的函数达到超过 \(p=10\) 的最大秩,产生更丰富的变换。
进一步分析发现,学习到的权重 \(\alpha_i\) 与频率 \(\omega_i\) 在层间的分布不同——早期层侧重中频以区分类别,后期层则偏低频以表征整体结构。

低频函数在输出层占主导,而中间层捕捉复杂的条件模式。
对比当前最优方法
FunLoRA 与主流持续生成方法 (DDGR、GUIDE、JDCL、DiffClass) 及使用大型预训练模型的变体进行了性能对比。
| 方法 | CIFAR100 LA↑ | ImageNet100 LA↑ | 骨干参数量 |
|---|---|---|---|
| DDGR (Diffusion) | 28.11 | 25.59 | 52.4M / 295M |
| GUIDE | 41.66 | 39.07 | 52.4M / 295M |
| JDCL | 47.95 | 54.53 | 52.4M / 295M |
| DiffClass (Stable Diffusion,预训练) | 62.21 | 67.26 | 983M |
| FunLoRA (我们的) | 60.07 | 58.30 | 36.6M / 90.7M |
| FunLoRA + 重采样 | 67.89 | 63.03 | 36.6M / 90.7M |
尽管 FunLoRA 模型规模更小、速度更快且从零训练,其性能仍超越了大量训练的扩散替代方案。
令人瞩目的是,FunLoRA 的“重采样”版本 (生成额外合成数据) 在 CIFAR100 上甚至超越了 DiffClass——该方法基于拥有 9.83 亿参数的预训练 Stable Diffusion 模型。这证明了持续生成学习可以既紧凑又强大。
定性结果进一步说明了这一点。

增量学习与多任务训练生成的图像几乎无差异。

增量训练的 FunLoRA 完美保持了图像质量,证明没有灾难性遗忘。
FunLoRA 的意义
FunLoRA 重新定义了持续生成学习的效率:
- 无遗忘: 每个类别使用独立自适应参数,任务间无干扰。
- 参数极少: 每个类别仅需少量额外参数,即使任务成千上万也能轻松扩展。
- 高表达性: 函数式秩提升 (特别是余弦函数) 在极低内存占用下实现丰富变换。
- 高速度: 基于流匹配的训练与采样比扩散模型快数个数量级,实现实时适应。
FunLoRA 表明,持续学习并不依赖大型预训练模型或复杂的回放机制。通过函数式的巧妙设计,即使秩为 1 的结构也可动态演化成高度表达的终身学习者。
总结
FunLoRA 不仅是一个优化技巧,更是一种重塑神经网络适应性的思考方式。融合流匹配的速度、LoRA 的参数高效性,并在此基础上加入函数式创新,它实现了 AI 长久以来的愿望:
一个能够持续学习、永不遗忘所知的智能系统。
这标志着生成式 AI 向真正的终身学习迈出了关键一步。
](https://deep-paper.org/en/paper/2510.02631/images/cover.png)